
回复时间:2024.11.01
民以食为天,食以安为先
学生是每个家庭的未来
学生的伙食牵引着父母的心
学校十分重视学生就餐情况
精心制定周食谱
营养可口,搭配均衡
让我们一起来看看这周吃什么吧~


回复时间:2024.10.31
10月30日,为期两天半的第三届“广汽传祺•最阳光”体艺节正在如火如荼地进行中,运动不停,趣味不断,随镜头共享精彩瞬间!





速度的较量,意志的磨砺,猩红的跑道,等待着勇敢者的奔赴。











助跑如风,越杆健儿旋转摆动。腾空而起,挑战自我技巧佳。






立定,秀出自信的风采。跳远,丈量勇气的距离。




功成不必在我,功成必定有我!他们是最公正严谨的人,他们是最牵挂比赛的人,来回奔波于各个赛项,专注于每一次发号施令,维护赛场秩序,保障赛事质量。场上虽精彩,幕后亦光荣!








运动员们以汗水为墨,以毅力为笔,在红色的赛道上勾勒着属于自己的荣耀轨迹。场外观众用发现美的眼睛,细腻的情感,在秋日校园中捕捉一帧又一帧美好——纵身一跃的她,随风奔跑的他,团结相携的他们,浸润日光的校园……时间会流失,那些幸福瞬间却由此定格。

2209刘子轩 摄



2312谭振轩 摄

2204全员 摄

2415摄影组 摄

2301颜成元 摄

2421万雨婷 摄

2309宋运怡 摄

2321付锐霖 摄

2408胡勇康 摄

2307严玥妤嘉 摄

2321余晓涵 摄

2210何丽 摄

2410袁珍珠 摄

2410程可凡 摄

2204郑相宪 摄




2410袁珍珠 摄









颁奖台上,健儿们绽放荣耀;掌声雷动,体育精神永流传。
现代健儿,加油!

回复时间:2024.10.31
10月31日,为期两天半的第三届“广汽传祺•最阳光”体艺节进入尾声,回顾赛程,挑战与趣味并存,汗水与欢笑交织,激情与奋进交融。这次体艺节是现代大家庭的一次盛会,是全体现代人的珍贵结晶。

学生比赛与教职工趣味比赛双线并行。本次教职工趣味比赛设有四个项目,分别是持杆接力跑、两人三足、袋鼠跳和拔河。这四个项目集趣味性、协作性和竞技性为一体,既考验个人的体能和技巧,又强调团队协作的重要性。





从三尺讲台、工作岗位到运动赛场,教育事业部的老师们暂别手中的粉笔,事业发展部成员、后勤工作人员放下手中的事务,尽情地享受运动带来的快乐。






此次趣味运动会也充分展现了现代教职工队伍意气风发的精神风貌,他们在课堂教学中因材施教,在繁琐工作中尽心尽责,在比赛过程中和衷共济,相信现代教职工会以更加饱满的姿态,更昂扬的斗志,为学生的未来、学校的发展做出新的贡献。









各赛项运动员经过决赛的激烈角逐,在热辣的汗水和欢呼喝彩声中摘得了1500米、4*100接力赛、实心球、跳远等项目的一二三名。团体积分尘埃落定,众多优秀的参赛选手和班级脱颖而出。闭幕式上,主持人公布了比赛成绩、各班积分,学校领导为获奖集体和个人颁发了证书、奖杯。












校长吴昌钧致闭幕辞,他代表学校向全体工作人员、所有参与本次赛事的师生表示衷心的感谢,向取得优异成绩的团体和个人表示热烈的祝贺!他希望现代师生能把赛场上表现出来的坚韧不拔的意志、顽强拼搏的作风融入到学习和生活中,谱写现代信息学校规范化、高质量发展的新篇章!


督学李朝晖对月假期间学生安全事项做了提醒,对学生提出了预防水痘、诺如病毒等流行疾病的卫生要求及其他安全要求。

此次体艺节,既是学校艺术教育成果的集中展示,也是学生展示自我、交流学习的平台,更是师生提升文化素养、艺术修养的美好时刻。学校始终坚持培养学生全面和谐发展,用文化的底色和美育的特色为学校发展增添更多的亮色。
第三届“广汽传祺•最阳光”体艺节虽已落幕,但热爱运动、热爱美的种子已在每个人心中生根发芽,学子们必将以更加炽热的激情、更加笃定的信念,全力投入到未来的学习与生活之中,为心中的梦想奋力翱翔,为学校的辉煌明天再铸丰碑。

回复时间:2024.10.31

回复时间:2024.10.31

尊敬的家长朋友:
您好!
金秋十月,是成熟的季节,也是收获的季节,经历了两个月的校园生活,学生变得更加独立、更加稳重。在一次又一次问好中学会礼貌待人,在一笔一划的书写中静下心来,在一次又一次活动中绽放光彩,在一个又一个赛项中学会坚持不懈、奋力拼搏……孩子们的改变发生在许多不经意的瞬间,需要时间的累积,需要爱与陪伴的浇灌。我们始终相信,浸润在良好的校园氛围中,学生们的点滴进步会如涓涓细流汇聚成海,未来定会成为更优秀的自己!
学生不断成长进步的同时,学校所有教职工肩负起教师的教书育人职责,全员、全程、全方位积极参与学生德育工作,形成了教育合力,达到初步的育人效果。同时,全体教师扎根三尺讲坛,加强集备集研力度,精心备好每一堂课。为了孩子们的身心健康发展,学业稳步前进,各部门各科室用心管理,用爱关怀。学校工作有条不紊,顺利推进,为了让您对学校的工作、对孩子的成长有更清楚的了解,我们向您汇报这段时间的重点工作:
1.为深入推进学校规范化、高质量发展,进一步明确新学期奋斗目标,筑牢师德师风根基,提高整体育人能力,10月9日,学校举行十月全体教师大会。
2.为了丰富校园生活,培养学生团队合作精神、创新能力和社交能力,10月12日,学校社团进行二次招新,补充新鲜血液。
3.为进一步强化与新教师的沟通,助力新教师更好地适应新环境,增强幸福感、认同感、归属感,10月17日,学校工会组织开展新教师生活交流会。
4.为了更好地搭建家校共育的桥梁,帮助孩子健康成长,10月17日,学校推出第二期“家校微课堂”,与广大家长朋友分享如何培养孩子的阅读习惯。
5.为落实国家资助评审制度和工作要求,确保国家资助评审工作的公平、公开、公正,充分发挥国家资助资金的激励、导向和资助育人功能,10月17日至18日,宜昌市秋季学期市直中职学校资助评审会在我校举行。
6.承接社会考试,既是学校社会服务职能的重要体现,也是办学实力和管理能力的综合展示,10月19日至20日,2024年度一级造价工程师职业资格考试在我校顺利举行。
7.为营造浓厚的备考氛围,帮助高三学子保持高度的紧迫感和责任感,以无畏的勇气、坚定的信念备战高考, 10月22日,高三年级组组织召开十月训导大会。
8.在10月至11月举行的宜昌市职业院校学生技能大赛中,学校有序组织,教师精心指导,学生获得短视频制作一等奖、三等奖,导游服务三等奖,办公软件综合应用一等奖、三等奖,C语言三等奖。
9.为帮助学生查漏补缺,培优提升,10月22日至24日,学校组织高一、高二年级进行月考。
10. 社会考试肩负“为国选才、为民履责”的神圣使命,学校始终以强烈的政治责任和担当落实各项考务工作,10月26日至27日,2024年度中级注册安全工程师职业资格考试在我校顺利举行。
11.为提高学生综合能力,推动校园文化繁荣发展,10月27日,校学生会顺利开展纳新工作。
12.为保障全校师生员工健康,积极预防流行疾病,10月30日,后勤保障部门对学校教学楼各班教室、各办公室及卫生死角进行全面消杀。
13.考试是检验学生学业质量和教师教学能力的重要环节,10月31日,学校组织高三年级学生参加联考。
14.为促进学生身体素质、运动技能、艺术审美等综合素养的全面发展,提升学生的社会适应性, 10月29日至31日,学校举办第三届“广汽传祺•最阳光”体艺节。
亲爱的家长朋友们,孩子们的每一次笑容,每一分进步都离不开学校和家长的共同努力和辛苦付出。相同的目标,不变的牵挂,让我们相向而行,携手共进,合作共育。学校规范化、高质量发展,需要全体现代人团结一心、不懈努力,也需要各位家长朋友的鼎力支持。放假期间请您留出一些时间多陪伴孩子、激励孩子。真诚的沟通是良好的润滑剂,能有效促进亲子关系,搭建健康良好的交流渠道有助于培养孩子的健全人格。当然,您对孩子的点滴进步也一定不吝夸赞,请您写出孩子在日常生活、学习交友、待人接物等方面的进步,并当面告诉孩子,给予恰当的赞许和鼓励,谢谢您的合作!
月假假期安全温馨提示
尊敬的家长朋友:
您好!
根据学校工作安排,结合当前的实际情况,2024年11月月假安排如下:
23、24级:10月31日上午12点离校;11月3日下午6点前返校。
22级:10月31号上午12点离校;11月3号下午2点前返校。
在享受假期的同时,安全隐患也不容忽视!因此,请各位家长、同学时刻牢记安全第一,并收好这份假期安全攻略。
1.传染病防控安全。秋季是感冒、水痘等传染病疾病的高发季。人员较密集、空间相对密闭的环境,比较容易引起传染病的传播流行,请大家做好日常防护。
2.交通安全。教育孩子外出自觉遵守交通规则,未满16周岁不准骑电动车上路。教育孩子过马路要注意来往车辆,走路要走人行道,靠右行,注意安全。
3.网络安全。希望家长以身作则,不沉溺网络,教育孩子养成良好上网习惯,多陪孩子到户外活动,参加体育等项目,以淡化手机网络的吸引。教育孩子健康上网、绿色上网、文明上网、限时上网,从网络中获取健康有益的信息,网上交友要谨慎,不与网友见面;不信谣、不传谣。保护好个人和家庭信息(特别是身份证、银行卡号、住址等),不贪小便宜,慎防网络、电信诈骗。
4.消防安全。加强居家安全教育,家长要妥善保管好家庭存放的有毒、有害物品,教育孩子不要接触易燃、易爆等危险品。教育孩子在家要注意防火、防触电、防煤气中毒。外出时注意检查用电、用气设施是否关闭。
5.饮食安全。教育孩子养成良好的饮食习惯,饮食要定时定量,禁忌暴饮暴食,注意饮食卫生,尤其是不到无证摊贩处购买“三无”食品,以防食物中毒,危及孩子的生命。
6.心理健康安全。持续关注孩子的心理健康,注意培养孩子良好的兴趣,缓解孩子因学习和生活出现的焦虑心态。与孩子积极沟通交流,创建温馨家庭氛围,改善亲子关系,让孩子体验居家快乐。
7.科学合理安排孩子的一日生活。安排孩子的假期生活时候,注意动静交替。控制孩子看电视、玩手机或其它电子设备的时间,保证孩子充足睡眠,巩固良好的生活习惯。
安全是快乐、幸福、健康的首要因素,让我们家校携手,共同教育孩子,提高安全意识,在此,预祝大家度过一个快乐而丰富的假期!
宜昌市现代信息中等职业技术(技工)学校
2024年10月31日

回复时间:2024.10.29

序属金秋,山河瑞彩;朝阳初升,彩旗飘飘。现代信息学校第三届“广汽传祺•最阳光”体艺节盛大开幕,青春于此刻奋力发光,运动正当时~

全校师生齐聚一堂,共同见证这一激动人心的时刻。广汽传祺汽车有限公司宜昌分公司人力资源科招聘培训经理鲁伟强、现代教育集团董事长田水荣、副董事长朱宗桥、总经理胡一杰、校长吴昌钧、督学李朝晖、副校长肖飞、副校长伍远明、集团事业发展部部长吴可、后勤保障部副部长龚红艳、集团工会主席张露、学生发展处主任武玉林、课程发展处主任谢华军、裁判长龚润涛出席本次开幕式。

开幕入场
本次运动会,共有近五十个班级方阵,近两千名师生共同参与,是现代信息学校历年来规模最大、参与度最高的一次群体性文体活动。


方队展现
开幕式中,各班级方阵依次入场,队员们步履铿锵,英姿飒爽,目光灼灼,意气方遒。他们着装或整齐划一、或各具风采,节目呈现专业特色、 精彩纷呈。裁判员方阵昂首阔步,飒沓如流星,展现出现代教师的昂扬风貌。










开幕式上,吴昌钧致开幕辞。他表示,学校全面贯彻党的教育方针,通过举办体育艺术节,为广大现代学子提供展示体育、艺术特长的舞台,践行“1+1学生培养策略”,促进学生身体素质、运动技能、艺术审美等综合素养的全面发展,提升学生的社会适应性,为办更高质量的职业教育而不懈奋进。他希望,全体运动员以满腔的热情和团结协作的精神,积极投入到各项比赛中,展现出最佳的风采与水平,充分诠释“更高、更快、更强——更团结”的奥林匹克精神。
赛前,裁判员代表和运动员代表进行庄严宣誓。


裁判员代表宋智璇老师庄严承诺:将以公正、公平、公开的原则,严格遵守竞赛规则和裁判员纪律,尊重参赛选手,文明裁判,秉公办事。
2207班黄云皓代表运动员宣誓:将严格遵守比赛规则,尊重裁判、尊重对手;将以积极、饱满、热情的态度参加各项比赛,发扬顽强拼搏的精神,胜不骄,败不馁。

田水荣宣布宜昌市现代信息学校第三届“广汽传祺•最阳光”体艺节正式开幕。



无畏向前勇争锋,力争上游不服输。跳高、跳远、实心球等众多项目中,运动健儿们一次次尝试,一次次超越,不断朝着 “更高、更快、更强——更团结” 的目标奋勇前行,努力发起冲击。




势如破竹不可挡,苍穹之下露锋芒。一声清脆的发令枪响,如燎原之火,瞬间将全场的热情熊熊点燃。从50米短跑的提速发力,到100米冲刺的风驰电掣,再到200米、800米的激情碰撞……径赛的各个项目依次登场。在那长长的跑道之上,健儿们尽情展现着速度与激情的魅力。



青春自当扶摇上,揽星衔月逐日光。每一位运动员都以饱满的热情、顽强的意志和拼搏的精神,诠释了“更高、更快、更强——更团结”的奥林匹克精神。在跑道上挥洒汗水,在跳高杆前挑战自我,在接力赛中传递团结与信任,跳远沙坑里的奋力一跃,实心球画出的完美抛物线,每一个动作、每一次冲刺都凝聚着对胜利的渴望和对体育精神的追求。




校园歌手大赛在万众期待中如期举行。出色的才艺,青春的张力,参赛歌手为观众献上一场酣畅淋漓的听觉盛宴。




一首首动听的歌曲将现场的气氛烘托得热烈而浪漫。绚丽的光影、醉人的歌声,变幻出一幕幕动人场景,幻化成一段段流年轶事,点燃了全场观众的激情,台下的同学热情高涨,不断为台上的选手呐喊加油。









展少年之姿,赴运动之约;扬文艺风采,迎青春盛会。体艺节的举办充分发挥了体育和艺术的育人功能,有助于激发学生爱运动、爱生活的热情,提高学生的健康意识和审美能力,增强学生的体质和审美格调。

回复时间:2024.10.28



2024年校学生会招新工作已圆满结束。在这段充满期待与激情的日子里,我们见证了无数现代学子青春的热情与梦想的绽放。

招新期间,那一个个充满期待的眼神、一张张青春洋溢的脸庞,让我们感受到了同学们对校学生会的向往与热爱。从报名到面试再到笔试,每一个环节都充满了挑战与机遇,而参与的每个学生都用出色的表现和坚定的决心,积极为自己争取进入校学生会的宝贵机会。
经过激烈的比拼,最终78名新成员加入了这个温暖而充满活力的大家庭。在这里,他们将开启一段全新的旅程,与志同道合的伙伴们一起,为了学校的发展和尽全力为全校师生做好服务而努力奋斗。校学生会也将因为你们的加入而更加精彩,更加充满活力。




踔厉奋发,和衷共济。本次招新活动不仅为学生会注入了新鲜血液,也为校园文化的繁荣发展奠定了坚实基础。学生会各部门热烈欢迎各位新生的加入,希望新成员们珍惜机会,携手共进,积极投身学生会工作,不断提升自己的综合素质和能力水平。相信在未来的日子里,这些新成员们将用自己的实际行动,展现现代学习的青春风貌,诠释“服务学校、奉献自我”的崇高精神,为学校文化建设添砖加瓦。

回复时间:2024.10.24

在这金秋送爽、硕果累累的季节里, 10月22日,高三年级组织召开十月训导会。本次大会不仅是对过去一个月学习成果的总结与表彰,更是对高三学子未来要面临高考挑战的动员与鼓舞。大会在庄严的国歌声中拉开序幕,全年级师生共同见证了这一重要时刻。


大会对9月月考中表现优异的高三学子进行了表彰。督学李朝晖、副校长伍远明、课程发展处主任谢华军、高三年级主任吴成军为获奖同学颁奖,并向他们表示热烈的祝贺。获奖同学脸上洋溢着自豪的笑容,他们的成绩不仅是个人努力的结果,更是对全体高三学子的一种激励。校领导希望全体同学能以他们为榜样,继续发扬勤奋学习、勇于拼搏的精神,为实现自己的梦想而努力奋斗。



2201班周奕菲同学作为学生代表发言,她以自己的学习经历为例,分享了如何为梦想而奋斗的心得体会。周奕菲同学表示,梦想不会自动成真,唯有脚踏实地、不懈奋斗才能最终抵达成功的彼岸。她的发言真挚而鼓舞人心,赢得了现场师生的阵阵掌声。

随后,吴成军对开学以来高三年级学生的学习与生活状况进行总结。他提到,大多数学生展现出良好的纪律性和学习热情,成绩稳步提升,这是令人欣慰的进步。然而,他也指出了存在的问题,如内务管理不够规范、自主学习氛围不够浓厚等,并鼓励全体同学深刻反思,积极整改,以更加自律和负责的态度面对高三生活。他强调,高三阶段是人生中至关重要的一年,面对即将到来的高考挑战,全体高三学子必须保持高度的紧迫感和责任感,以无畏的勇气、坚定的信念迎接每一个挑战。同时,吴成军还明确了高三年级接下来的工作重点和努力方向,为全体师生指明了前行的道路。

为了维护良好的学习环境,大会还邀请了学生发展处副主任向骏宣读违纪学生处分决定。向主任强调,纪律是学习的保障,更是我们成长道路上不可或缺的基石。他希望全体同学能以此为鉴,自觉遵守校规校纪,共同营造一个和谐、有序的学习环境。

最后,李朝晖作总结发言。他对同学们的成长与进步表示了肯定与赞扬,特别是即将迈过18岁成年门槛的高三学子们所展现出的成熟与担当。他结合当前高考形势的变化,为同学们厘清了备考思路。他提到,湖北省技能高考本科指标的增加为全体学生提供了更多的机会与挑战,希望同学们能够抓住机遇,努力拼搏,争取在2025年高考中取得优异成绩。同时,他还强调了安全、纪律等方面的重要性,要求同学们时刻保持清醒头脑,敬畏规则与法律,为自己的青春与未来负责。
随着督学的谆谆教诲,本次高三年级训导会圆满落幕。全体师生纷纷表示将以更加饱满的热情和更加坚定的信念投入到接下来的学习和工作中去。让我们携手并进、在追梦的路上勇往直前、用青春的汗水和不懈的努力书写属于我们自己的精彩篇章!

回复时间:2024.10.24
在这个充满挑战与机遇的季节里,2024年宜昌市中等职业学校学生技能(才艺)大赛拉开了序幕,短视频制作与导游赛项于10月22日在秭归职教中心分赛场举行。

经过激烈的比拼与专业的评审,一系列优秀作品与选手脱颖而出,我校6名参赛选手全员获奖。其中,短视频制作赛项一、三等奖各一组,导游赛项三等奖两人。




在短视频制作大赛的舞台上,学生们化身为导演、编剧、剪辑师、根据文案和提供的剪辑素材自主创意策划与制作短视频。在导游技能大赛的赛场上,学生们化身为知识的传播者、文化的使者,用他们的智慧与魅力,引领着观众走进一个又一个精彩纷呈的旅游世界。

中职学生技能大赛作为一项重要活动,有益于中职教育不断建强“皆可成才”的培育载体,畅通“多维成才”的成长渠道,搭建“各显其才”的选拔平台。不仅为学生们提供了展示自我、锤炼技能的机会,进一步激发了他们对专业技能的热爱与追求,也为校园文化生活增添了浓墨重彩的一笔。

回复时间:2024.10.24
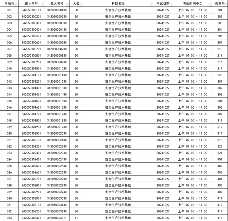
2024年度
中级注册安全工程师职业资格考试
将于2024年
10月26日、10月27日举行
宜昌现代信息学校提醒广大考生注意以下事项:

考试时间

考点信息
✦宜昌市现代信息学校考点(修远楼)
(宜昌市伍家岗区桔乡路498号)

考生须知
NO.1 考前准备
1. 熟悉考试规则和要求:
认真阅读准考证上的考试信息和注意事项,了解考试时间、地点、科目、考场规则等。
确认考试所需的证件(如身份证、准考证)是否齐全,并提前准备好。
2. 复习备考:
合理安排复习时间,对重点知识进行系统复习和巩固。可以通过做模拟题、历年真题等方式熟悉考试题型和答题技巧。
3. 准备考试用品:
按照考试必备物品清单准备好文具(黑色墨水笔、2B 铅笔、橡皮等)、证件和其他必要物品。
确保文具质量良好,避免在考试中出现故障。
NO.2 考试当天
1. 提前到达考场:
提前规划好交通路线,预留足够的时间到达考场,避免因交通拥堵等原因迟到。
一般建议提前 30 分钟至 1 小时到达考场,以便有时间找到考场位置、适应考场环境。
2. 遵守考场规则:
进入考场后,听从监考人员的安排,遵守考场纪律。
关闭手机等电子设备,并将其放在指定位置,不得携带任何与考试无关的物品进入考场。
按照要求填写答题卡和答题纸上的个人信息,确保准确无误。
3. 答题技巧:
仔细阅读题目要求,理解题意后再作答。合理安排答题时间,先易后难。
答题时要注意书写规范、清晰,避免因字迹潦草而影响得分。
在答题卡上涂写答案时,要确保涂卡准确,避免出现漏涂、错涂等情况。
温馨提示
中级注册安全工程师
2024年中级注册安全工程师职业资格考试考场安排表










考场平面图